公众号

扫码关注公众号

客服微信号

咨询客服微信号

返回顶部
热门分类
  • 指标
  • EA
  • 模板
  • 外汇
  • 黄金
  • 学院
  • 发帖数4908
  • 粉丝30

此人很懒,什么也没有留下

所属组:管理员
用户等级:
注册时间:2017/04/25
手机:未填写电话号码
邮箱:16479791179@qq.com
简介:这个人很懒,什么也没有留下
热门排行榜
  • 本周热榜
  • 本月热榜

交易系统Madro Quantum Trading

[复制链接]
外汇学院 显示全部楼层 发表于 2023-12-4 09:28:26 |阅读模式 打印 上一主题 下一主题
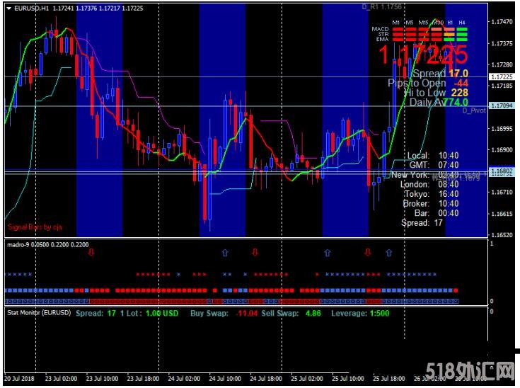
MT4 Madro Quantum Trading 外汇交易系统下载。
9 B/ O+ I' P+ C* a! {2 I8 N& A' h

MT4 Madro Quantum Trading 外汇交易系统下载

MT4 Madro Quantum Trading 外汇交易系统下载
7 [5 ?& h5 }; @0 K- W1 C) l
MT4 Madro Quantum Trading 外汇交易系统下载。
$ u7 S+ |4 g" M: e! KMadro Quantum Trading 指标模板安装方法:2 U' H( `* d! J; Q
MT4安装目录/MQL4/Indicators为指标文件夹(放置mq4和ex4指标)
8 k6 Q! a: c& o0 C. V# NMT4安装目录/templates 为模板文件夹(放置tpl模板文件)2 \' |9 }$ F3 Q' |/ h
然后重新启动MT4平台,你的技术指标或者模板也就安装完毕了。: K( M$ o% s8 ^6 G: E& h
外汇资源(包括不限于外汇EA,指标,交易系统)均来自国外网站,我们仅对本次资源做了部分汉化介绍、使用说明,我们不是这些资源的作者,你可以在本网购买折扣的资源。
, O" |4 I6 C  M; g( L! l. c投资有风险。世界上没有100%准确的交易系统,任何优秀的交易系统也存在周期性的缺陷问题,多一份参考信号 就等于多了一份指导建议,祝愿大家早日成功!
. [! y! @8 R3 ]
8 D% [5 h2 S) X3 ?1 Y
下载地址: Forex-Madro-Quantum-Trading-System.rar (144.73 KB, 下载次数: 0, 售价: 30 金钱)
8 s, v) U' W# y+ L  D
518财经网(www.518waihui.com)立志成为全球最大的中文专业外汇论坛。为用户提供最快最全面的资讯服务,提供稳定实用的外汇交易软件系统及完善的培训教学,帮助投资者实现信息对称,让更多的投资者了解和参与外汇黄金市场。立志成为外汇论坛中的黑马网站。商务合作QQ:1967038611

★★★ 或者升级到“VIP等级”:可任意发帖+无限制金币+所有资源无限制下载。   联系管理员(微信:15000043492 )或者加QQ:1967038611 升等级!★★★
回复

使用道具 举报

精彩评论1

在线在线 显示全部楼层 发表于 2023-12-4 10:23:21
33333333333333
回复

使用道具 举报

您需要登录后才可以回帖 登录 | 立即注册

本版积分规则